Ugrás a fő tartalomra
titkarsag@tallya.hu, ugyfelszolgalat@tallya.hu
+36 47 398 024
Tállya Község honlapja
Köszöntő
Aktuális
Turizmus
Közérdekű
Dokumentumok
Kapcsolat
Facebook oldal
Telefonszám: +36 47 398 024
titkarsag@tallya.hu
ugyfelszolgalat@tallya.hu
Választási információk
elrejt
elrejt
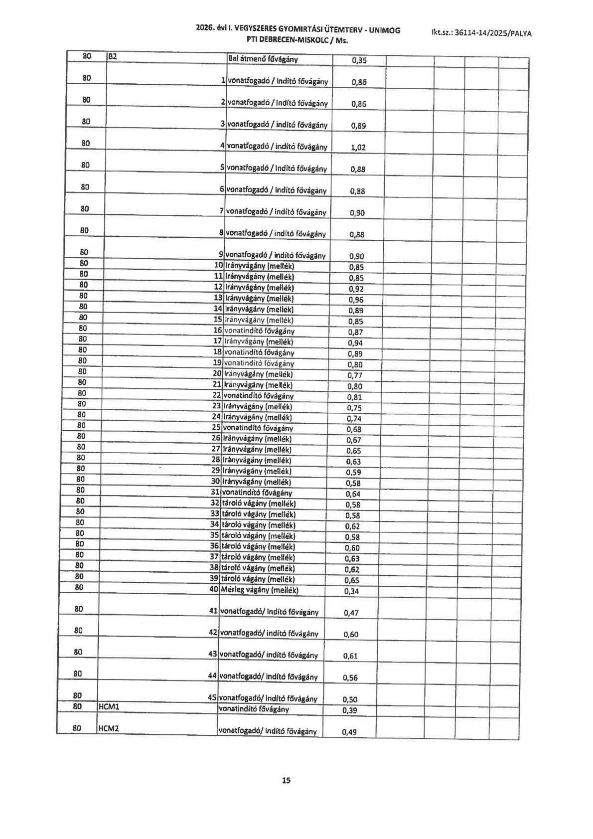
MÁV tájékoztatása